Load Dataset¤
This notebook guidance on how to use the load datasets of the MF-VeBRNN repo.
# import fnctions and classes from the dataset module
from MFVeBRNN.dataset.load_dataset import SingleFidelityDataset, MultiFidelityDataset
Load single fidelity dataset¤
dataset = SingleFidelityDataset(train_data_path = "lf_dns_sve_0d1.pickle",
id_ground_truth=True,
id_test_data_path="hf_dns_rve_0d1_gt.pickle",
id_ground_truth_data_path="lf_dns_sve_0d1_gt.pickle",
ood_ground_truth=True,
ood_test_data_path="hf_dns_rve_0d125_gt.pickle",
ood_ground_truth_data_path="lf_dns_sve_0d125_gt.pickle",)
=============================================================
The dataset is loaded successfully.
Number of training samples: 2981
Number of in-distribution test samples: 99
Number of out-of-distribution test samples: 99
=============================================================
dataset.get_train_val_split(num_train=1000,num_val=100)
# plot a training data
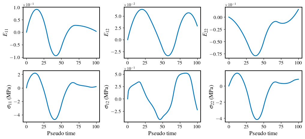
dataset.plot_training_data(index=5)

# plot a test data
dataset.plot_testing_data(index=3, test_data="id")

Load multi-fidelity dataset¤
dataset = MultiFidelityDataset(lf_train_data_path = "lf_sca_rve_0d125_2_1.pickle",
hf_train_data_path= "hf_dns_rve_0d1.pickle",
id_ground_truth=True,
id_hf_test_data_path="hf_dns_rve_0d1_gt.pickle",
id_lf_ground_truth_data_path="lf_sca_sve_0d125_2_1_gt.pickle",
ood_ground_truth=True,
ood_hf_test_data_path="hf_dns_rve_0d125_gt.pickle",
ood_lf_ground_truth_data_path="lf_sca_sve_0d125_2_1_gt.pickle",)
dataset.get_hf_train_val_split(num_hf_train=100, num_hf_val=0, seed=0)
dataset.get_lf_train_val_split(num_lf_train=100, num_lf_val=0, seed=0)
=============================================================
The dataset is loaded successfully.
Number of low-fidelity training samples: 4929
Number of high-fidelity training samples: 1291
Number of in-distribution test samples: 99
Number of out-of-distribution test samples: 99
=============================================================
# plot a training data
dataset.plot_training_data(index=1, fidelity='lf')

# plot testing data
dataset.plot_testing_data(index=1, test_data="id")

Have fun!