Single-fidelity RNN¤
This notebook guidance on how to train RNN of the MF-VeBRNN repo.
# import packages
from MFVeBRNN.dataset.load_dataset import SingleFidelityDataset
from MFVeBRNN.method.rnn_trainer import RNNTrainer
import torch
import matplotlib.pyplot as plt
from torch import nn
import warnings
warnings.filterwarnings("ignore")
Load dataset¤
dataset = SingleFidelityDataset(train_data_path = "lf_dns_sve_0d1.pickle",
id_ground_truth=True,
id_test_data_path="hf_dns_rve_0d1_gt.pickle",
id_ground_truth_data_path="lf_dns_sve_0d1_gt.pickle",
ood_ground_truth=True,
ood_test_data_path="hf_dns_rve_0d125_gt.pickle",
ood_ground_truth_data_path='lf_dns_sve_0d125_gt.pickle',)
dataset.get_train_val_split(num_train=100,num_val=100)
=============================================================
The dataset is loaded successfully.
Number of training samples: 2981
Number of in-distribution test samples: 99
Number of out-of-distribution test samples: 99
=============================================================
Define a simple GRU network¤
Since the history dependent constitutive law is has recurrent data structure, we need a recurrent neural network for this task.
class SimpleGRU(nn.Module):
def __init__(self,
input_size: int,
hidden_size: int,
num_layers: int,
output_size: int,
bias: bool = True):
super().__init__()
self.gru = nn.GRU(input_size=input_size,
hidden_size=hidden_size,
num_layers=num_layers,
bias=bias,
batch_first=True,
)
self.h2y = nn.Linear(hidden_size, output_size)
def forward(self, x, hx=None):
out, _ = self.gru(x, hx) # (B, T, hidden_size)
y = self.h2y(out) # (B, T, output_size)
return y
Training setup¤
# define the RNN model
rnn_network = SimpleGRU(input_size=3,
hidden_size=64,
num_layers=1,
output_size=3)
# define the RNN trainer
DeepRNN = RNNTrainer(
net=rnn_network,
device=torch.device("cuda:0" if torch.cuda.is_available() else "cpu"),
)
# define the optimizer
DeepRNN.configure_optimizer_info(optimizer_name="Adam",
lr=0.001,
weight_decay=0.0)
# define the loss function
DeepRNN.configure_loss_function(loss_name="MSE")
# train the model
min_loss, min_epoch = DeepRNN.train(
x_train=dataset.x_train,
y_train=dataset.y_train,
x_val=dataset.x_val,
y_val=dataset.y_val,
num_epochs=500,
batch_size=100,
print_iter=100,
verbose=True,
)
# save the model
torch.save(DeepRNN, "single_fidelity_rnn_model.pth")
Epoch/Total: 0/500, Train Loss: 9.229e-01, Val Loss: 9.716e-01
Epoch/Total: 100/500, Train Loss: 2.096e-01, Val Loss: 2.165e-01
Epoch/Total: 200/500, Train Loss: 3.355e-02, Val Loss: 3.849e-02
Epoch/Total: 300/500, Train Loss: 2.459e-02, Val Loss: 2.920e-02
Epoch/Total: 400/500, Train Loss: 1.948e-02, Val Loss: 2.424e-02
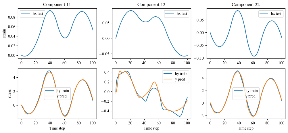
Get RNN's prediction¤
# get the prediction of the test data
y_pred = DeepRNN.predict(dataset.x_id_gt_scaled)
# scale back to the original space
y_pred = dataset.scale_back_outputs(y_pred.detach().cpu())
# plot a test data with the prediction and the ground truth
index =1
fig, ax = plt.subplots(2, 3, figsize=(12, 5))
for i in range(3):
ax[0, i].plot(dataset.ID_X[index, :, i], label='hx test')
ax[0, i].legend()
ax[1, i].plot(dataset.ID_Y[index, :, i], label='hy train')
ax[1, i].plot(y_pred.cpu()[index, :, i], label='y pred')
ax[1, i].legend()
# set the x and y labels
for i in range(3):
ax[1, i].set_xlabel('Time step')
ax[0, 0].set_ylabel('strain')
ax[1, 0].set_ylabel('stress')
# set the title
ax[0, 0].set_title('Component 11')
ax[0, 1].set_title('Component 12')
ax[0, 2].set_title('Component 22')
plt.show()
